4k 6 2k 16 2
Nicole C.
Algebra
viii months, 3 weeks ago
'Please help me ASAP! I will mark you as the best respond! I need the answers to the empty boxes 4k HNN 6 = 2k 16 2 4k 6 2k 18 4k 2k 1000'
Related Question
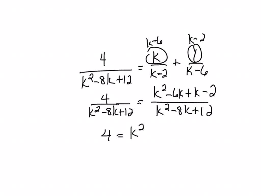
Solve (iv)/(k^2-8k+12) = (k)/(k-2) + (1)/(k-6)
Discussion
You lot must be signed in to discuss.
Video Transcript
to brainstorm this process, I'yard going to get a common denominator. Then on the correct hand side is really where I need to put those two fractions together. Uh and then what I'm gonna do is multiply this by K -vi and I'm gonna multiply this one over here by Chiliad -2 and put them together. So um in the numerator I'm gonna take K Yard times g minus half-dozen which is G squared minus half-dozen One thousand. And so um I accept the thou minus two times one. And so that becomes plus Chiliad. And so minus ii. Now when I foil out the denominators I get the k squared minus eight K plus 12 which matches the left mitt side. So what that ways is we can really only focus on the new radar so I accept iv is equal to k squared, I'k gonna put the two case together and that gets me a total of negative five Chiliad. And and so I have the minus two. And so now I'chiliad gonna movement the 4 to the other side. Information technology'southward gonna be okay at that place and I take one thousand squared minus five K. And then minus six. Now I can factor this. So when that factors I can break that down into K and K. And and then it has to multiply the negative 6 negative v. Then it'south gonna be negative six and positive 1. So if these two things are equal to naught, the two values would be K is equal to half dozen and k is equal to negative one. The last thing you desire to do is check to run across if you take an inapplicable solutions because of this Chiliad -half-dozen, nosotros can't employ where G is equal to 6, so the only thing that's gonna work here is going to be our negative one.
4k 6 2k 16 2,
Source: https://www.numerade.com/ask/question/please-help-me-asap-i-will-mark-you-as-the-best-answer-i-need-the-answers-to-the-empty-boxes-4k-hnn-6-2k-16-2-4k-6-2k-18-4k-2k-k-16869/
Posted by: russelltave1936.blogspot.com

0 Response to "4k 6 2k 16 2"
Post a Comment